• Предмет: Алгебра
  • Автор: levas70
  • Вопрос задан 3 года назад

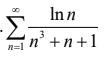
Исследовать на сходимость ряд

Приложения:

Ответы

Ответ дал: rumanezzo
1

Ответ:

Сходится!

Объяснение:

ln n < n; n³ + n + 1 > n³, следовательно

0 < ln n/(n³ + n + 1) < 1/n³

Но ряд с общим членом 1/n³ сходится, следовательно сходится и исследуемый ряд


rumanezzo: к сожалению не без "косяка" - там где было < 1/n³ должно быть < n/n³, ну в конце - не 1/n³, а 1/n²
Вас заинтересует