• Предмет: Алгебра
  • Автор: Vyacheslav13337
  • Вопрос задан 3 года назад

Нужно подробное решение уравнения. 8 класс

Приложения:

Ответы

Ответ дал: serovaksusa1
1

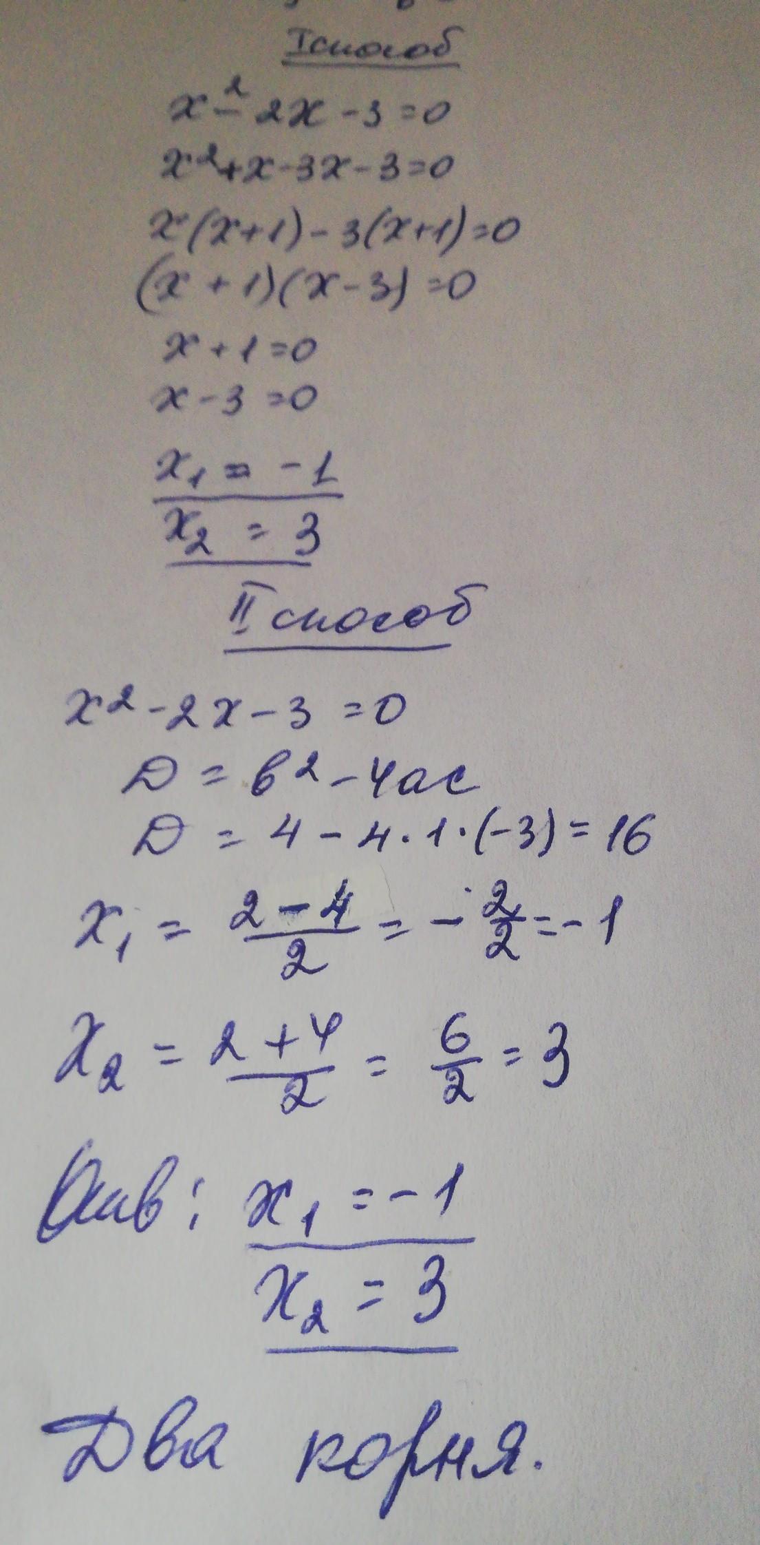
Ответ:смотри решение на фото

Приложения:
Ответ дал: idabelova
1

Ответ:

х = 1 или х = -3

Объяснение:

х2 - 2х - 3 =0

это дискриминант выражения (х - 1) * (х + 3) = 0

тогда чтоб выражение имело смысл

х - 1 =0 или

х + 3 = 0

тогда, х = 1 или х = -3

Вас заинтересует