Ответы
Ответ дал:
1
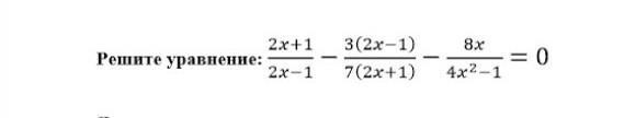
Ответ:
нет корней
Пошаговое объяснение:
...........
Приложения:

DeViLiNkEdS:
спасибки;)
Вас заинтересует
2 года назад
2 года назад
2 года назад
2 года назад
7 лет назад
7 лет назад
9 лет назад