• Предмет: Математика
  • Автор: ramilaxundov903
  • Вопрос задан 3 года назад

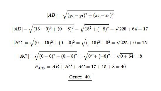
Найдите периметр треугольника с вершинами в точках А(8;0),В(0,15),С(0;0)

Ответы

Ответ дал: webdev
5

.............................

Приложения:
Вас заинтересует