• Предмет: Математика
  • Автор: purokilya
  • Вопрос задан 3 года назад

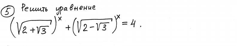
Помогите пожалуйста. Математика 10-11 класс.
Ответ желательно с максимальными объяснениями.

Приложения:

Ответы

Ответ дал: jalilovis
1

Ответ:

-2; 2.

Пошаговое объяснение:

........................

Приложения:
Вас заинтересует