• Предмет: Алгебра
  • Автор: Аноним
  • Вопрос задан 3 года назад

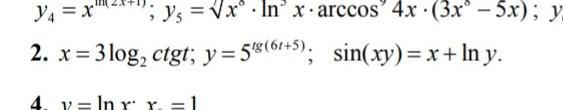
Найти производные функций заданных параметрически и неявно.(2 номер, все 3 функции)​100 баллов

Приложения:

Ответы

Ответ дал: Miroslava227
1

Ответ:

1.

x = 3 log_{2}(ctgt)  \\ y =  {5}^{tg(6t + 5)}  \:  \:  \:  \:  \:  \:  \\  \\

y'x =  \frac{y't}{x't}  \\

y't =  ln(5)  \times  {5}^{tg(6t + 5)}  \times  \frac{1}{ { \cos }^{2}(6t + 5) }  \times 6 \\

x't=  \frac{3}{ ln(2)  \times ctgt}  \times ( -  \frac{1}{ { \sin }^{2}t }) =  \\  =  \frac{3sint}{ ln(2) \times cost }   \times ( -  \frac{1}{ { \sin}^{2}t } ) =  \\  =  -  \frac{3}{ ln(2)  \times sint \times cost}

y'x =  \frac{ ln(5) \times  {5}^{tg(6t + 5)} \times 6  }{ { \cos }^{2} (6t + 5)}  \times ( -   \frac{ ln(2) \times sint \times cost }{3} ) =  \\  =   -  \frac{ ln(5) }{ ln(2) }  \times  \frac{ {5}^{tg(6t + 5)}  \times  \sin(2t) }{ { \cos }^{2} (6t + 5)}

2.

 \sin(xy)  = x +  ln(y)

 \cos(xy)  \times (y + xy') = 1 +  \frac{y'}{y}  \\ y \cos(xy)  + xy'\cos(xy)   -  \frac{y'}{y}  = 1 \\ y'(x \cos(xy)  -   \frac{1}{y}  ) = 1 - y \cos(xy)  \\ y' \times  \frac{xy \cos(xy)  - 1}{y}  = 1 - y  \cos(xy)  \\ y'=  \frac{y(1 - y \cos(xy)) }{xy \cos(xy)  - 1}


Аноним: Спасибо огромное, можете по возможности мой последний вопрос решить, пожалуйста? Там тоже 100 баллов.
Вас заинтересует