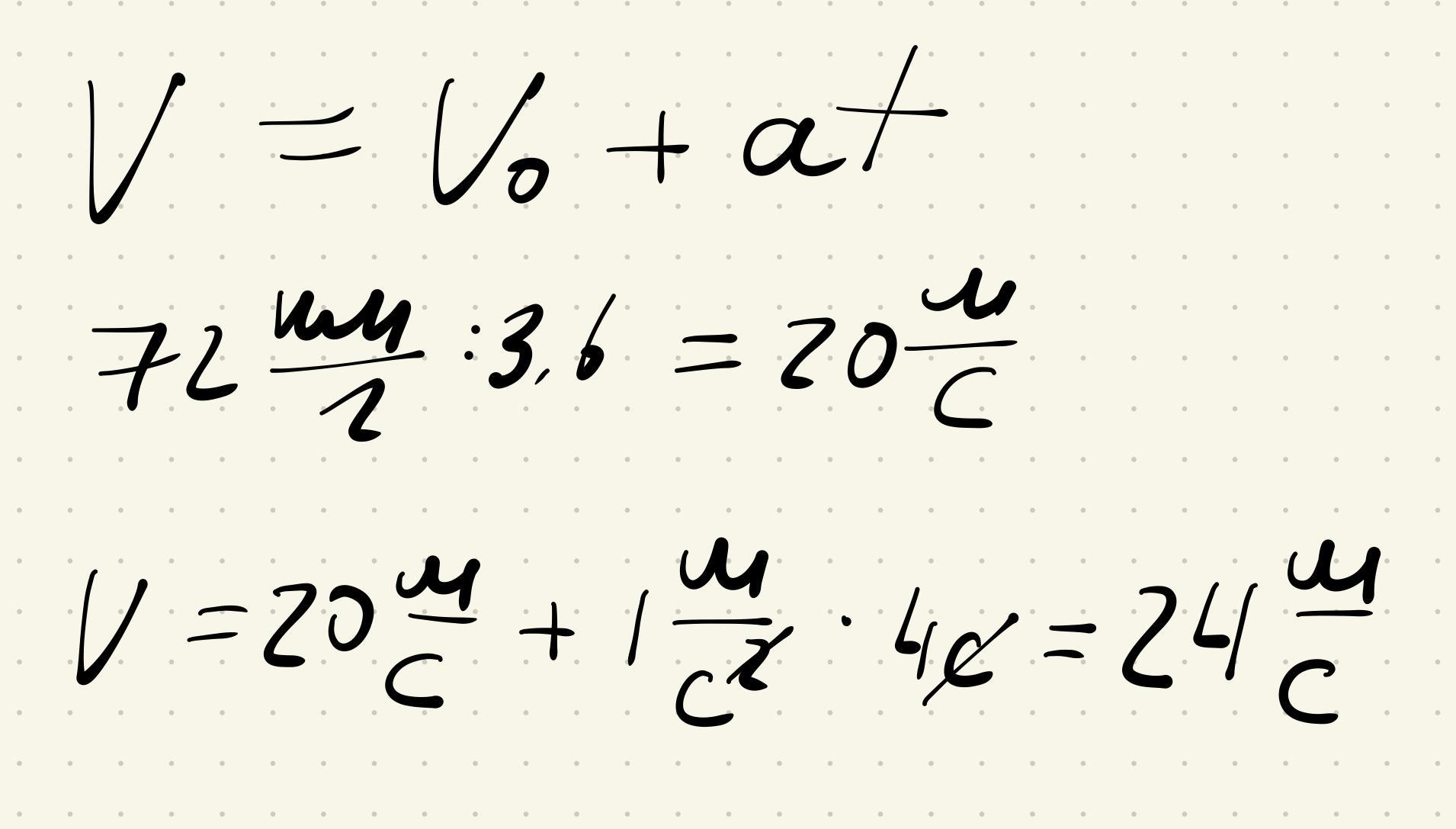
определите, какой станет скорость тела двигающегося с ускорением 1м/с2 за 4 секунды,еали начальная скорость была 72км/ч.
Ответы
Ответ дал:
0
Решение на фото ниже
Приложения:

Вас заинтересует
2 года назад
2 года назад
2 года назад
7 лет назад
7 лет назад
9 лет назад