• Предмет: Физика
  • Автор: Аноним
  • Вопрос задан 3 года назад

ПОМОГИТЕ ПОЖАЛУЙСТА(
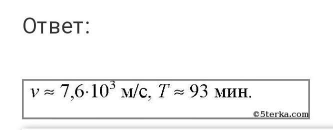
Какую скорость должен иметь искусственный спутник, чтобы
обращаться по круговой орбите на высоте 430 км над
поверхностью Земли? Каков период его обращения?


vvbarashkovsky: ну уже раз десять только сегодня решал только с другими числами ( больше не могу)

Ответы

Ответ дал: japarbekb
2

v -это скорость, Т -это время.

Приложения:

Аноним: это правильно?)
japarbekb: да
Вас заинтересует