• Предмет: Математика
  • Автор: showbossyt
  • Вопрос задан 3 года назад

Пожалуйста очень надо, 50баллов​

Приложения:

Ответы

Ответ дал: kivikivi95
0

Пошаговое объяснение:

А) 0,4+m-22 = m-21,6

б) - 0,16 +4,06- m ( cam посчитаешь.)

B) 16-а- 20 7/12

И тп

Ответ дал: serovaksusa1
1

Ответ:

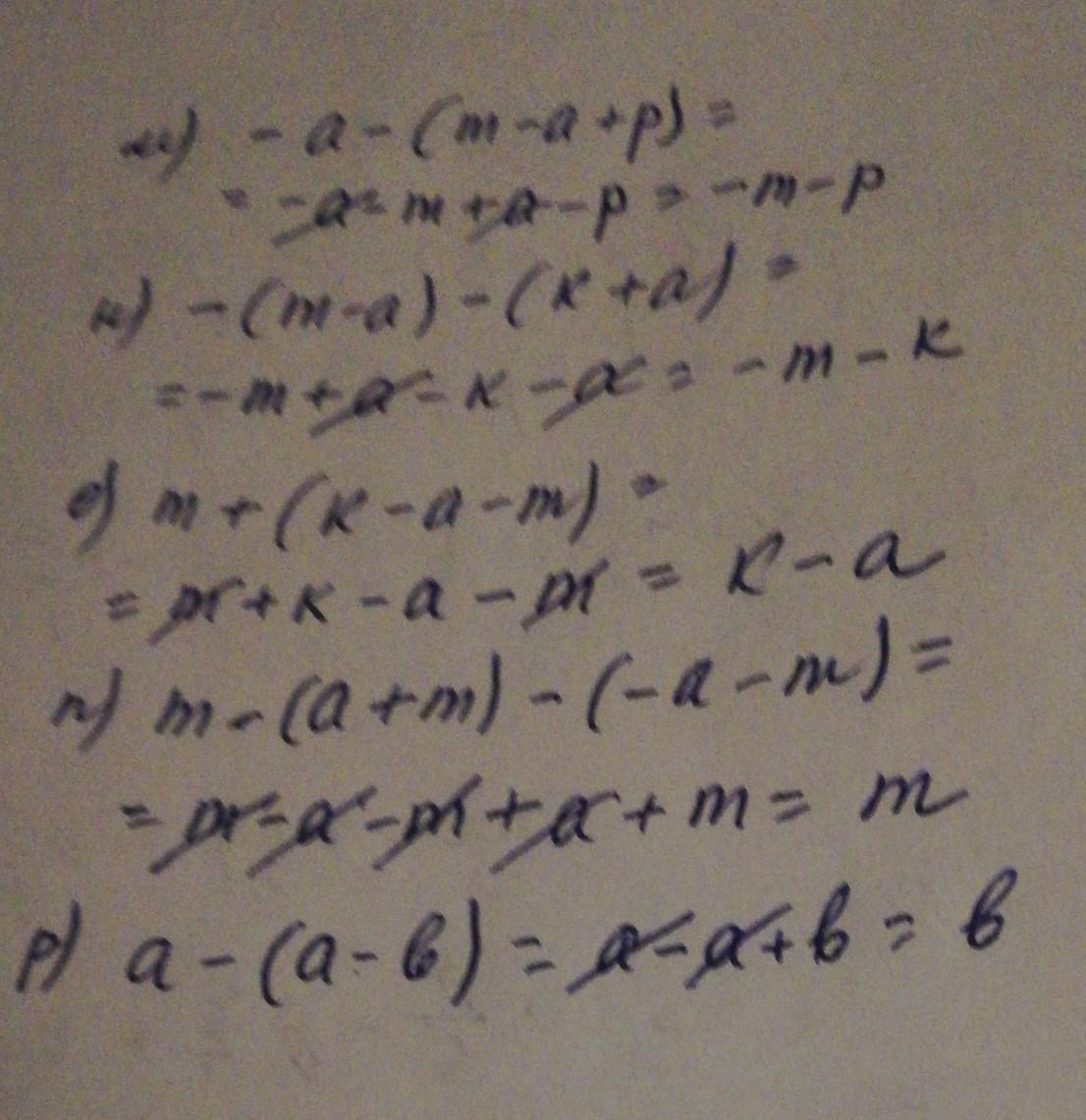
Смотри решение на фото

Приложения:

serovaksusa1: посмотрите там все вам пришло, три фото?
showbossyt: 2 фото
showbossyt: все 3
showbossyt: спасибо огромное!!!
Вас заинтересует