• Предмет: Алгебра
  • Автор: dsdofnfnsdln
  • Вопрос задан 3 года назад

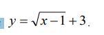
Найдите область значений функции. ДАЮ 35 БАЛЛОВ

Приложения:

Ответы

Ответ дал: dopecaliforniaoznjz5
0

y=\sqrt{x-1} +3

x≥1

x∈[1;+∞)

Вас заинтересует