• Предмет: Математика
  • Автор: mrsignalka
  • Вопрос задан 3 года назад

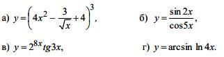
найти производные Х y(штрих) , пользуясь правилами и формулами дифференцирования.

Приложения:

Ответы

Ответ дал: Miroslava227
1

Ответ:

а)

 y' = 3 {(4 {x}^{2}  -  \frac{3}{ \sqrt{x} }  + 4)}^{2}  \times (8x - 3 \times ( -  \frac{1}{2} ) {x}^{ -  \frac{3}{2} } ) =  \\  = 3(8x +  \frac{3}{2x \sqrt{x} } ) {(4 {x}^{2}  -  \frac{3}{ \sqrt{x} }  + 4)}^{2}

б)

y' =  \frac{2 \cos(2x) \times  \cos(5x) - ( - 5 \sin(5x)) \times  \sin(2x)    }{ { \cos }^{2} (5x)}  =  \\  =  \frac{2 \cos(2x) }{ \cos(5x) }  +  \frac{5 \sin(5x)  \sin(2x) }{ { \cos}^{2}(5x) }  =  \\  =  \frac{2 \cos(2x) }{ \cos(5x) }  +  \frac{5tg(5x) \sin(2x) }{ { \cos}(5x)}  =  \\  =  \frac{ \cos(2x)  + 5 \sin(2x) tg(5x)}{ \cos(5x) }

в)

y' =  ln(2)  \times  {2}^{8x}  \times 8tg(3x) +  \frac{1}{ { \cos }^{2} (3x)}  \times 3 \times  {2}^{8x}  =  \\  =  {2}^{8x} (8 ln(2)  \times tg(3x) +  \frac{3}{ {  \cos }^{2} (3x)} )

г)

y' =  \frac{1}{ \sqrt{1 -  {ln}^{2} (4x)} }  \times  \frac{1}{4x}  \times 4 =  \\  =  \frac{1}{ \sqrt{1 -  {ln}^{2} (4x)} }

Вас заинтересует