• Предмет: Математика
  • Автор: gelerit95
  • Вопрос задан 3 года назад

Найдите значение выражения!​

Приложения:

Ответы

Ответ дал: ЖЖЖНННЯЯЯ
0

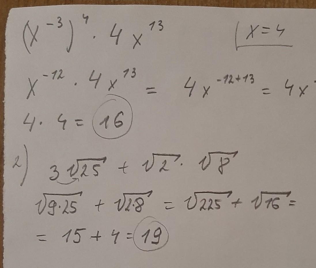
1. Ответ: 16

2. Ответ: 19

Подробно смотри в прикрепленном фото

Приложения:
Ответ дал: MatemaT123
0

Ответ:

16; \quad 19;

Пошаговое объяснение:

(x^{-3})^{4} \cdot 4x^{13}=x^{-3 \cdot 4} \cdot 4x^{13}=x^{-12} \cdot 4x^{13}=4x^{-12+13}=4x^{1}=4x;

4x, \quad x=4 \Rightarrow 4 \cdot 4=16;

3\sqrt{25}+\sqrt{2} \cdot \sqrt{8}=3 \cdot 5+\sqrt{2 \cdot 8}=15+\sqrt{16}=15+4=19;

Вас заинтересует