• Предмет: Математика
  • Автор: Filld3211
  • Вопрос задан 3 года назад

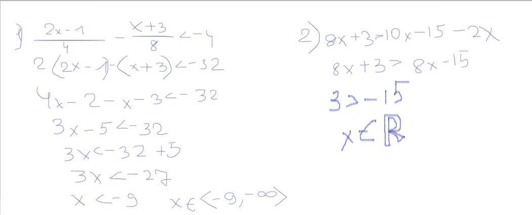
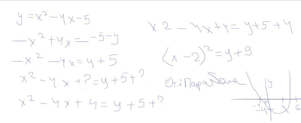
Пж помогите очень нужно 2-4

Приложения:

Soyanaro: Слишком не понятный почерк
Soyanaro: Что там написано

Ответы

Ответ дал: em5jna
1

Ответ:

Пошаговое объяснение:

Приложения:
Вас заинтересует