Помогите, теор. физика
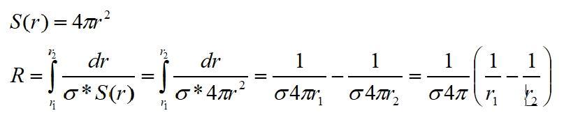
Простір між обкладинками сферичного конденсатора заповнено середовищем з питомою електропровідністю σ*. Знайти опір такого пристрою, нехтуючи опором металевих електродів.
Пространство между обкладками сферического конденсатора заполнено средой с удельной электропроводностью σ*. Найти сопротивление такого устройства, пренебрегая сопротивлением металлических электродов
Ответы
Ответ дал:
0
Ответ:
во вложении
Объяснение:
Приложения:

perehrestr2001:
Можно подробное решение через напряжение и силу тока?!
Вас заинтересует
2 года назад
2 года назад
2 года назад
2 года назад
7 лет назад
7 лет назад
9 лет назад