• Предмет: Математика
  • Автор: gekan205
  • Вопрос задан 3 года назад

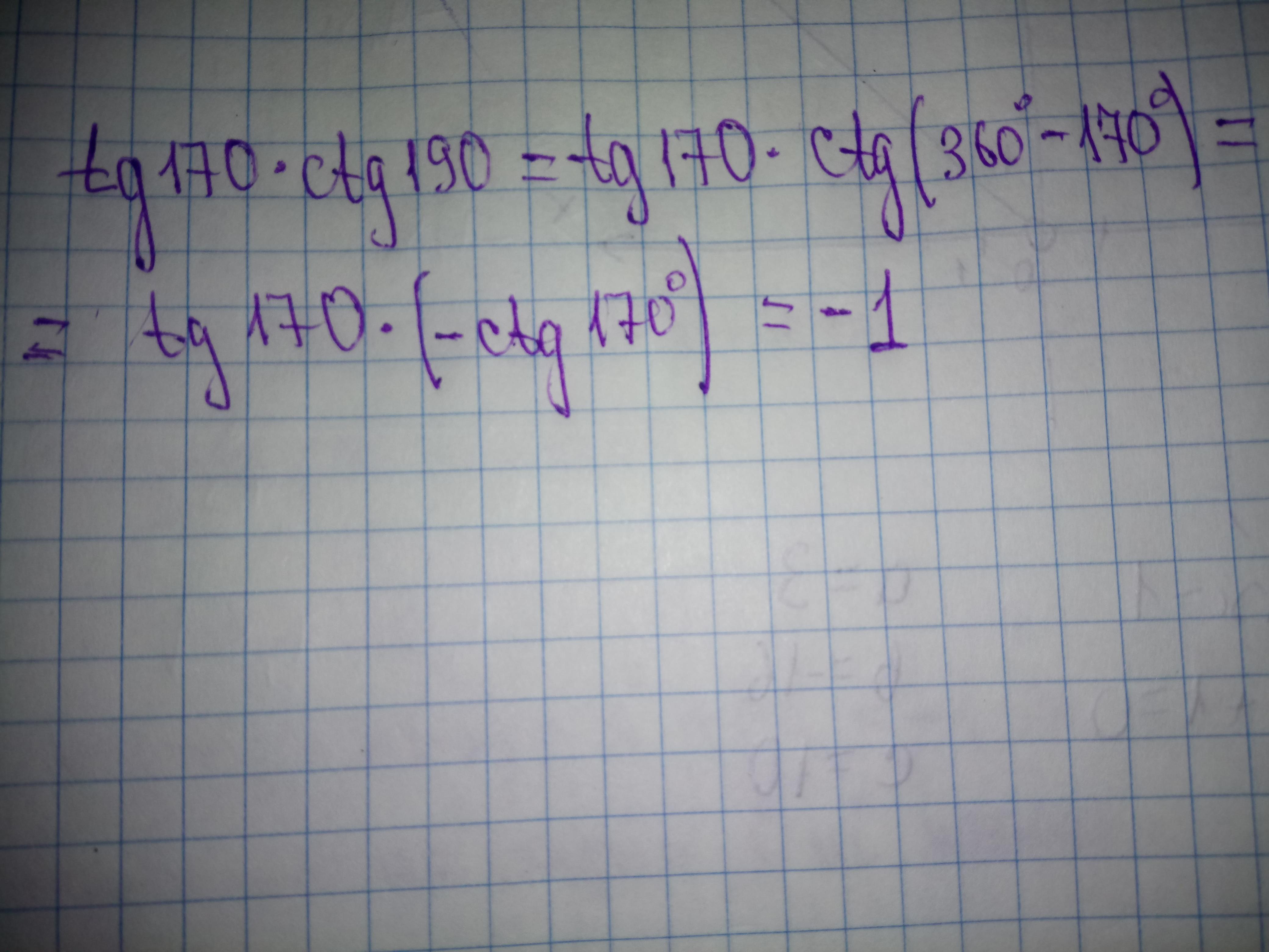
Помогите пожалуйста срочно надо задание: tg170°•ctg190°


Аноним: В задании, сравнить с 0?

Ответы

Ответ дал: Аноним
0

Ответ : -1

Решение задания прилагаю

Приложения:
Вас заинтересует