1. Укажите степень окисления каждого элемента в соединении:
a) NH4Cr2O7 _____________________________
b) K2MnO4 _____________________________
c) Ca(OH)2 _____________________________
d) H2SO3 _____________________________ [4]
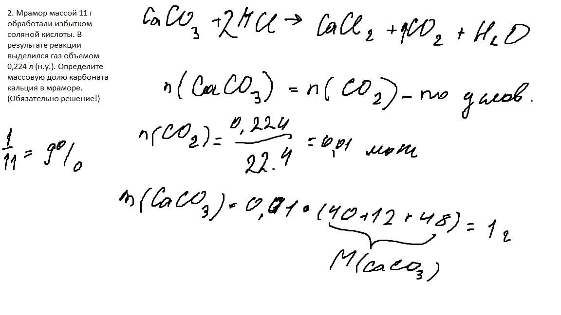
2. Мрамор массой 11 г обработали избытком соляной кислоты. В результате реакции выделился газ объемом 0,224 л (н.у.). Определите массовую долю карбоната кальция в мраморе. (Обязательно решение!)
1) Уравнение реакции: ________________________________________________
2) Количество вещества газа: _____________________________________
3) Количество вещества карбоната кальция: _______________________________________
4) Масса карбоната кальция: _______________________________________
5) Массовая доля карбоната кальция в мраморе: _____________________________ [5]
3. Распределите элементы на три группы согласно их характеристикам:
кальций, бор, натрий, калий, алюминий, барий.
На внешнем энергетическом уровне находится 3 электрона (2 s и 1 p) Все они имеют один s-электрон на наружном электронном слое Имеют электронную конфигурацию ns2, образуют оксиды состава RO
[3]
4. а) Назовите две области, где применяют алюминий: ___________________________
б) Почему элементы первой группы хранят под слоем керосина или машинного масла? ______________________________________________________________________
в) Почему рубидий более активен, чем натрий? Объясните с точки зрения строения атома. _____________________________________________________________________________
[3]
Ответы
Ответ:
Объяснение:
1
а) NH4Cr2O7 - N- (-3) H - (+1) Cr (+6) O(-2)
б) K2MnO4 Mn - (+7) K (+1) O - (-2)
c) Ca (+2) O (-2) H(+1)
d) H(+1) S(+4) O(-2)
2) Внизу файл прикреплен
3) Кальций , барий - Имеют электронную конфигурацию ns2, образуют оксиды состава RO
Калий, натрий - Все они имеют один s-электрон на наружном электронном слое
Алюминий бор - На внешнем энергетическом уровне находится 3 электрона (2 s и 1 p)
4) А) 1) В судостроение засчет своей легкости
2) В электронике за счет хорошей проводимости электрического тока
Б) Их хранят под слоем керосина, потому что они очень энергично окисляются при контакте с воздухом, образуя оксиды и пероксиды
В) Радиус атома рубидия больше чем у натрия, значит электрон удален от ядра дальше чем у натрия, а следовательно и забрать его легче
