• Предмет: Математика
  • Автор: electronic22853
  • Вопрос задан 3 года назад

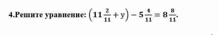
реши уравнение















































;3плиииииииз​

Приложения:

Ответы

Ответ дал: pechEn13
1

Ответ:

2 \frac{10}{11}

Пошаговое объяснение:

(11 \frac{2}{11}  + y) - 5 \frac{4}{11} = 8 \frac{8}{11}  \\11 \frac{2}{11}  + y =  8 \frac{8}{11}  + 5 \frac{4}{11}  \\ 11 \frac{2}{11}  + y = 13 \frac{12}{11}  \\ 11 \frac{2}{11}  + y = 14 \frac{1}{11} \\ y = 14 \frac{1}{11}  - 11 \frac{2}{11}  \\ y = 13 \frac{12}{11}  - 11 \frac{2}{11}  \\ y = 2 \frac{10}{11}

Вас заинтересует