• Предмет: Математика
  • Автор: electronic22853
  • Вопрос задан 3 года назад

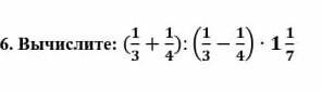
вычислит вычисли вычисли​

Приложения:

Ответы

Ответ дал: AGENT2288888
2

Ответ:

=1 2/5

Пошаговое объяснение:


electronic22853: спс
Ответ дал: mansuralimzhanov50
0

вот точно это правилбно не знаю

Приложения:
Вас заинтересует