• Предмет: Математика
  • Автор: Аноним
  • Вопрос задан 3 года назад

пожалуйста помогите мне срочно​

Приложения:

jekadva: б) -1

Ответы

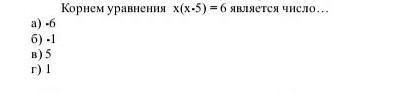
Ответ дал: shapuvalov69
0

Ответ:

Пошаговое объяснение:

X(X-5)=6

X2-5X=6

X2-5X-6=0

X2-X-6X-6=0

Xx(X+1) - 6(X+1)=0

(X+1)x(X-6)=0

X+1=0

X-6=0

X= - 1

X=6

Вас заинтересует