• Предмет: Математика
  • Автор: stas1314
  • Вопрос задан 3 года назад

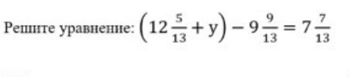
помогите пожалуйста СРОЧНО!!!!!!!!​

Приложения:

Ответы

Ответ дал: belaevaleksandr351
1

Ответ:

( \frac{161}{13}  + y) -  \frac{126}{13}  =  \frac{98}{13}

 \frac{161}{13}  + y -  \frac{126}{13}  = \frac{98}{13}

 \frac{35}{13}  + y =  \frac{98}{13}

y =  \frac{98}{13}  - \frac{35}{13}

y =  \frac{63}{13}


stas1314: спасибо а это правильно?
belaevaleksandr351: да
Вас заинтересует