Ответы
Ответ дал:
1
Ответ:
-8,79
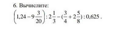
Вычислить дробное выражение.
Приложения:

Вас заинтересует
2 года назад
2 года назад
2 года назад
9 лет назад