Ответы
Ответ дал:
0
Ответ:
Объяснение:
...................
Приложения:

zaurhanb:
Можно пожалуйста полный ответ и решение?!
Ответ дал:
0
Ответ:
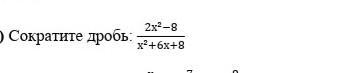
Верх : 2(х-4)
Низ: (х+2)(х+4)
Вас заинтересует
2 года назад
2 года назад
2 года назад
2 года назад
7 лет назад
9 лет назад
9 лет назад