• Предмет: Алгебра
  • Автор: akylbekaktilek19
  • Вопрос задан 3 года назад

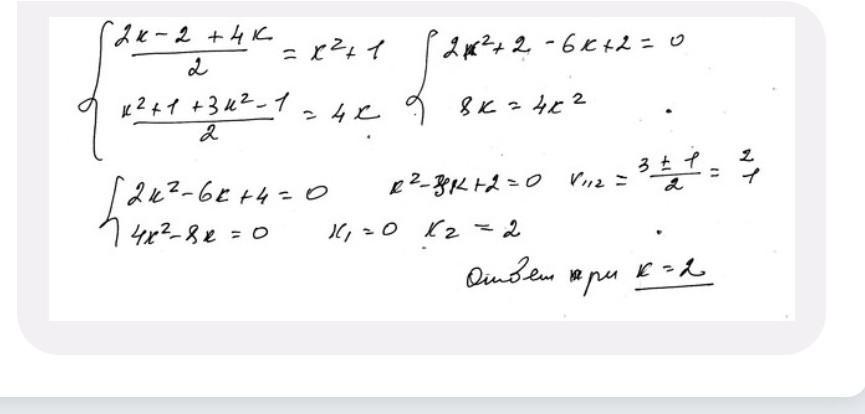
при каких значениях к числа 2к-2,к2+1,4к,3к2-1 является четырьмя последовательными членами арифметической прогрессий​

Ответы

Ответ дал: kelvira171750
1

Ответ:

Вот)

Думаю правильно

Объяснение:

Воооттттттттт тттттт

Приложения:
Вас заинтересует