• Предмет: Математика
  • Автор: tpavlikov19
  • Вопрос задан 3 года назад

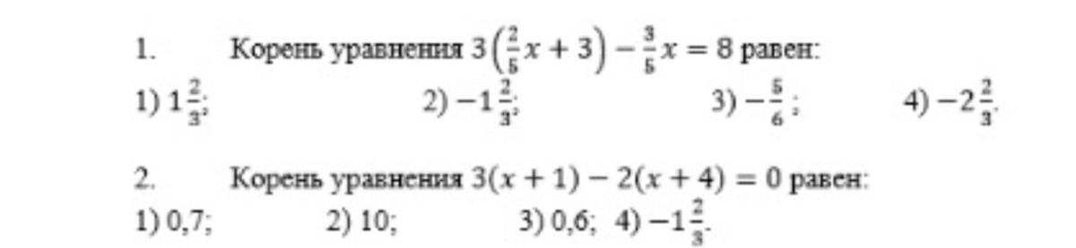
Найти корень уравнения
Доп баллы даю

Приложения:

Ответы

Ответ дал: СуперМауся
1

Ответ:

........на второй ответ у меня такой получился, проверила все сходится

Приложения:
Вас заинтересует