это соч можно пожалуйста быстро а то времени мало за это 60 балов
Приложения:

mashachez:
ты можешь удалить все ответы? я почти решила твой вариант, но не могу добавить решение
Ответы
Ответ дал:
0
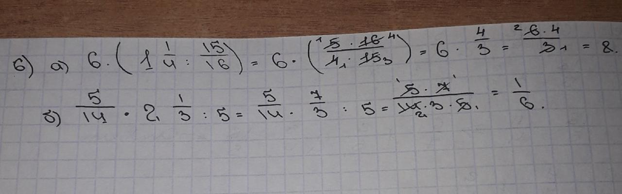
Ответ:
решение прикрепила во вложении
Пошаговое объяснение:
Приложения:


Вас заинтересует
7 лет назад
9 лет назад