• Предмет: Математика
  • Автор: kaminovamaha
  • Вопрос задан 3 года назад

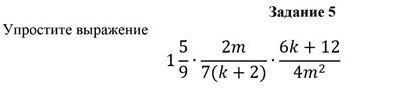
1 5/9•2m/7 (k+2)•6k+12/4m в квадрате.
ПОМОЧЬ У МЕНЯ СОЧ 20 МИН ОСТАЛОСЬ ААААААА​

Приложения:

Ответы

Ответ дал: ЖЖЖНННЯЯЯ
1

Подробное решение на фото

Приложения:

kaminovamaha: СПАСИБААААА
Вас заинтересует