Ответы
Ответ дал:
1
Ответ:
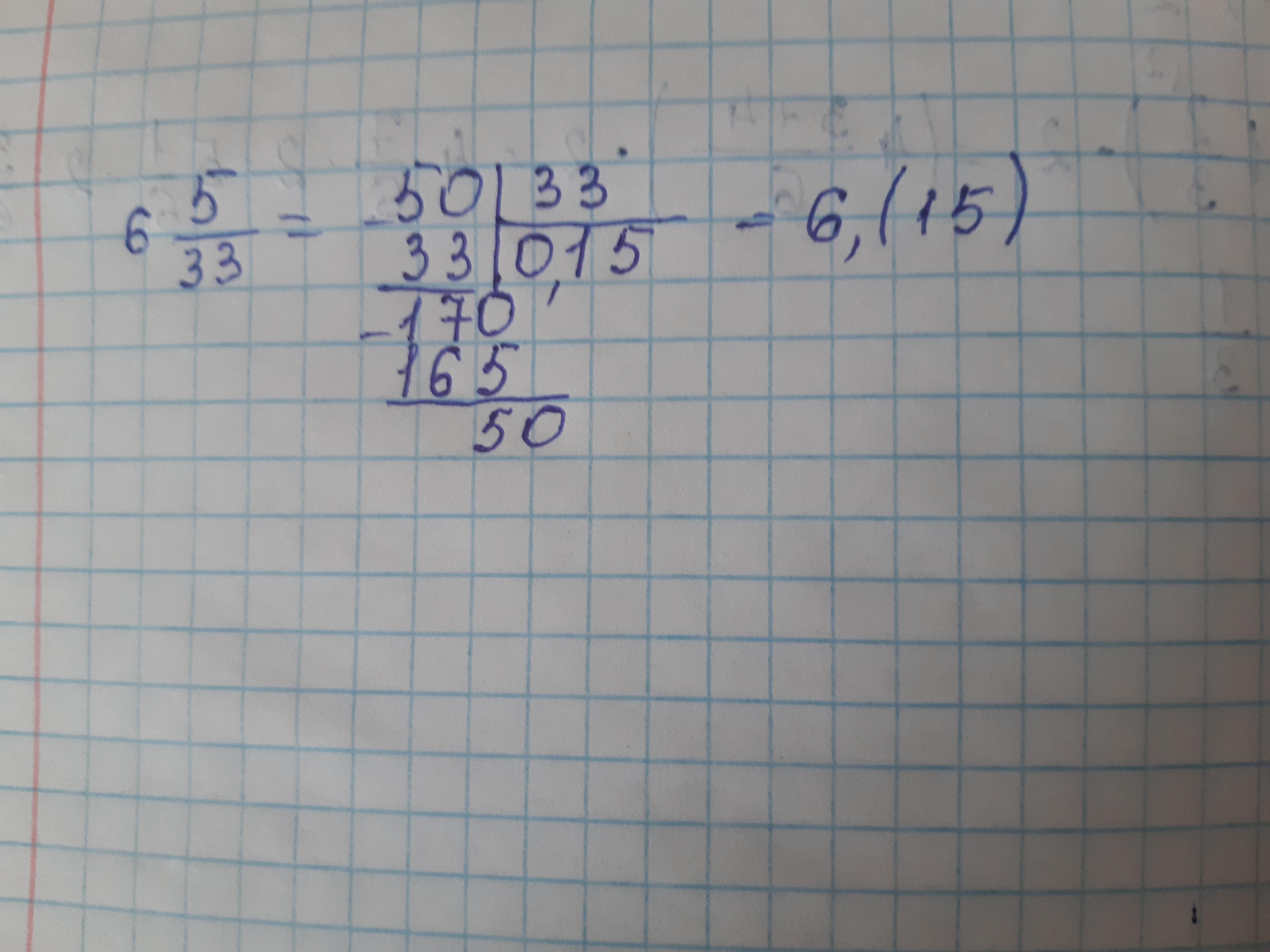
6 целых 5/33 = 6, (15)
Пошаговое объяснение:
Для того,чтобы превратить обыкновенную дробь в десятичную, нужно чслитель поделить на знаменатель.
Приложения:

InzhiWeysley:
спасибо
Вас заинтересует
2 года назад
2 года назад
2 года назад
2 года назад
7 лет назад