• Предмет: Математика
  • Автор: Ahyc346
  • Вопрос задан 3 года назад

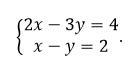
Решите графическим методом систему уравнений
Даю 50 баллов

Приложения:

Ответы

Ответ дал: ildar502020
1

Ответ:  x=2;  y=0.

Пошаговое объяснение:

2x-3y=4;

x-y-=2

-------------

(... Все в жизни решается просто: есть деньги, есть друзья есть знакомые. А вот если нет знаний - некоторые проблемы решить нельзя и с друзьями и с деньгами...

                                                                                                            НИЦЦШЕ).

***

Приложения:
Вас заинтересует