• Предмет: Математика
  • Автор: nekishsteam1991
  • Вопрос задан 3 года назад

Раскрыть скобки и упростить выражение, решать не надо.
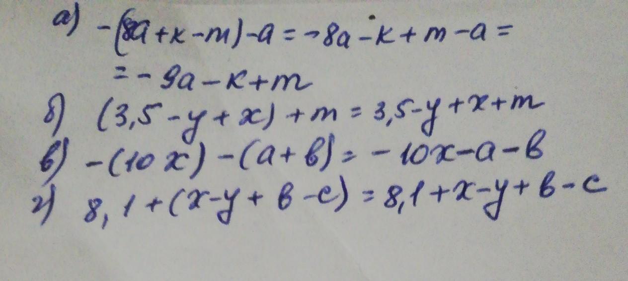
a) -(8+k-m) - a =
б) (3,5 - y + x) + m =
в) -(10-x) - (a+b)
г) 8,1 + (x-y + b - c)

Ответы

Ответ дал: serovaksusa1
1

Ответ:

Смотри решение на фото

Приложения:

nekishsteam1991: Спасибо огромное! Наконец то хоть кто то э
nekishsteam1991: Хоть кто то сделал правильно
Вас заинтересует