Ответы
Ответ дал:
0
Ответ:
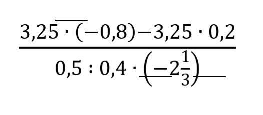
1 4/35 (смотри ниже пошаговое объяснение)
Пошаговое объяснение:
смотри прикреплённые фотографии
Приложения:


Вас заинтересует
2 года назад
2 года назад
2 года назад
7 лет назад
7 лет назад
9 лет назад