• Предмет: Математика
  • Автор: mariiatsyndria1
  • Вопрос задан 3 года назад

Помогите пожалуйста
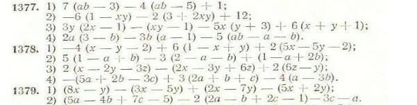
1377 (2,4)
1378 (2,4)
1379 (2)​

Приложения:

Ответы

Ответ дал: nahksenek
0

Ответ:

1377 (2) = 2xy

1377 (4) = 11a+8b-10ab

1378 (2) = 10b-3a

1378 (4) = 7a+17b+6c

1379 (2) = -2b-3

Пошаговое объяснение:

1377 (2)

-6(1-xy)-2(3+2xy)+12=-6+6xy-6-4xy+12=2xy

1377 (4)

2a(3-b)-3b(a-1)-5(ab-a-b)=6a-2ab-3ab+3b-5ab+5a+5b=11a+8b-10ab

1378 (2)

5(1-a+b)-3(2-a-b)+(1-a+2b)=5-5a+5b-6+3a+3b+1-a+2b=10b-3a

1378 (4)

-(5a-2b-3c)+3(2a+b+c)-4(a-3b)=-5a+2b+3c+6a+3b+3c-4a+12b=7a+17b+6c

1379 (2)

(5a-4b+7c-5)-2(2a-b+2c-1)-3c-a=5a-4b+7c-5-4a+2b-4c+2-3c-a=-2b-3


mariiatsyndria1: это точно верно?
nahksenek: зайди в фотомас
nahksenek: и если что проверь
Вас заинтересует