• Предмет: Математика
  • Автор: sainakanaibekova
  • Вопрос задан 3 года назад

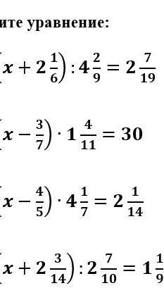
помогите пожалуйста, решить уравнения​

Приложения:

Ответы

Ответ дал: lunanani3763
0

Ответ:

1)

 ( x+ \frac{13}{6} )*\frac{1}{4} *\frac{2}{9}=\frac{45}{19} \\\frac{6x+13 }{6}  *\frac{1}{4} *\frac{2}{9} =\frac{45}{19}\\19 (6x+13)=4860\\114x+247=4860\\114x=4860-247\\x=\frac{4613}{114}= x=40\frac{53}{114}

2)

\frac{4}{11} x-\frac{12}{77} =30\\28x-12=2310\\28x=2310+12\\28x=2322\\x=\frac{1161}{14} = x=82\frac{13}{14}

3)

(x-\frac{4}{5} )*\frac{4}{7} =\frac{29}{14}\\\frac{4}{7} x -\frac{16}{35} =\frac{29}{14} \\40x-32=145\\40x=145+32\\40x=177\\x=\frac{177}{40}  =x=4\frac{17}{40}

4)

\frac{14x+31}{14} * \frac{1}{2} *\frac{7}{10} =\frac{10}{9} \\\frac{14x+31}{40} =\frac{10}{9} \\9(14x+31)=400\\126x+279=400\\126x=400-279\\126x=121\\x=\frac{121}{126}

Вас заинтересует