• Предмет: Математика
  • Автор: kamilaasan4263653
  • Вопрос задан 3 года назад


помогитеееееее очень надо так же важно и кстати тут по действеям

Приложения:

Ответы

Ответ дал: tinadobao
1

Ответ:

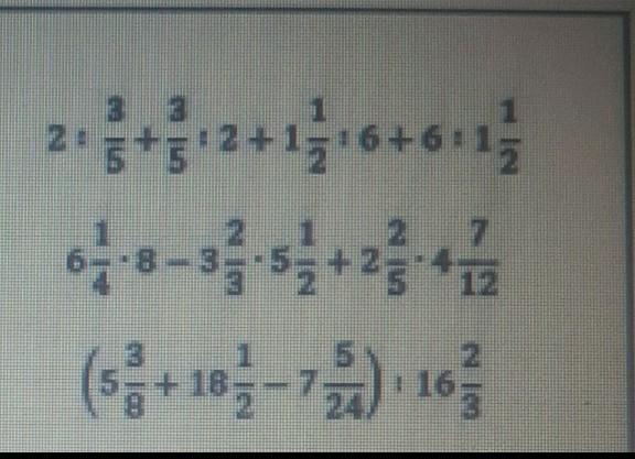
Первый пример

1)2:3/5 + 3/5: 2+1 1/2: 6+6: 1 1/2=2*5/3+ 3/5*1/2+3/2*1/6+6:3/2

2)2*5/3+ 3/5*1/2+3/2*1/6+6:3/2 =10/3+3/10+1/2*1/2+6*2/3

3)10/3+3/10+1/2*1/2+6*2/3= 10/3+3/10+1/2*1/2+6*2/3

4)10/3+3/10+1/2*1/2+6*2/3= 10/3+3/10+1/4+2*2

5) 10/3+3/10+1/4+2*2= 10/3+3/10+1/4+4

6) 10/3+3/10+1/4+4= 473/60= 7 53/60

Второй пример

1) 6 1/4*8-3 2/3*5 1/2+2 2/5*4 7/12= 25/4*8-11/3*11/2+12/5*55/12

2)25/4*8-11/3*11/2+12/5*55/12= 25*2-121/6+11

3) 25*2-121/6+11= 50-121/6+11

4) 50-121/6+11= 61-121/6

5)  61-121/6=245/6= 40 5/6

Третий пример

1) ( 5 3/8+18 1/2- 7 5/24): 16 2/3= ( 43/8+37/2-173/24)*1/16*2/3

2) ( 43/8+37/2-173/24)*1/16*2/3= 50/3*1/8*1/3

3) 50/3*1/8*1/3= 25/3*1/4*1/3

4) 25/3*1/4*1/3= 25/36


kamilaasan4263653: спсибо ❤❤❤❤
tinadobao: Буду постепенно добавлять решения других примеров
Вас заинтересует