• Предмет: Математика
  • Автор: ayashovazhibek
  • Вопрос задан 3 года назад

Пожалуйста помогите даю 15 баллов

Приложения:

eralkhantlektes02: это билим лейд?
eralkhantlektes02: есле да скажи тему

Ответы

Ответ дал: Zombynella
1

Ответ:

В решении.

Пошаговое объяснение:

По действиям:

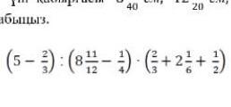
1) 5 - 2/3 = 4 1/3;

2) 8 11/12 - 1/4 =

общий знаменатель 12:

= 8 (11 - 3*1)/12 =

= 8 8/12 = 8 2/3;

3) 2/3 + 2 1/6 + 1/2 =

общий знаменатель 6:

= 2 (2*2 + 1 + 3*1)/6 =

= 2 8/6 = 3 2/6 = 3 1/3;

4) 4 1/3 : 8 2/3 =

перевести в неправильные дроби:

= 13/3 : 26/3 =

= (13*3) / (3*26) =

= 1/2;

5) 1/2 * 3 1/3 =

перевести в неправильную дробь:

= 1/2 * 10/3 =

= 5/3 = 1 2/3.  Ответ примера.

Ответ дал: aidanasamganova
1

Вот надеюсь помогла думаю правильно

Приложения:
Вас заинтересует