• Предмет: Математика
  • Автор: Аноним
  • Вопрос задан 3 года назад

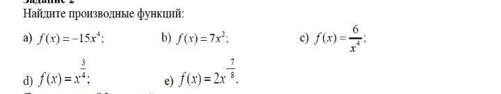
решите пожалуйста дам 100б​

Приложения:

Ответы

Ответ дал: Аноним
1

Ответ:

вот на фото решение функции...

Приложения:

Аноним: ну и 100 баллы...
Вас заинтересует