• Предмет: Алгебра
  • Автор: tuncerlamia
  • Вопрос задан 3 года назад

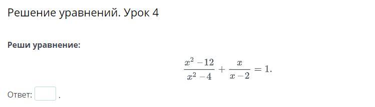
ПОЖАЛУЙСТАААААААААААААААААААААААААААА ОТВЕТЬТЕ!!!!!

Приложения:

Ответы

Ответ дал: prikopevn
1

Ответ данного уравнение будет :

X = -4


tuncerlamia: СПАСИБО! ЛУЧШИЙ!
tuncerlamia: у меня почему то нет кнопки сделать лучший ответ! не знаю почему но спасибо
prikopevn: Нез
Вас заинтересует