Ответы
Ответ дал:
0
Ответ:
Вот так дайте 30 баловввввввввв
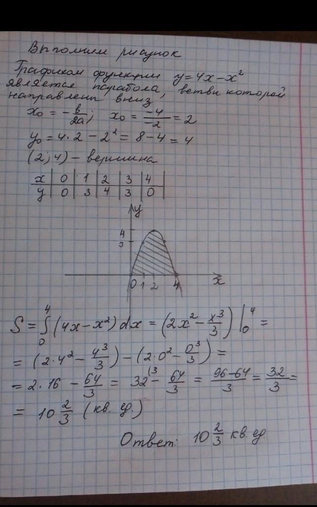
Приложения:

Вас заинтересует
2 года назад
2 года назад
2 года назад
2 года назад
7 лет назад
7 лет назад