• Предмет: Математика
  • Автор: yukijaden444
  • Вопрос задан 3 года назад

Найти неопределенные интегралы:

Приложения:

Ответы

Ответ дал: Miroslava227
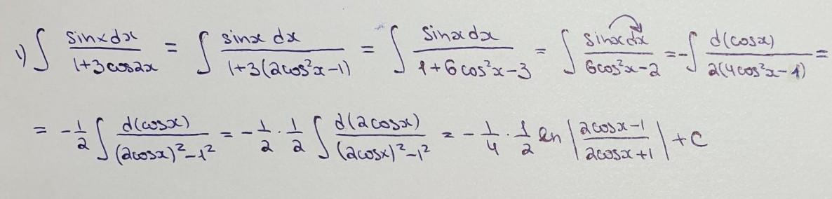
1

Ответ:

решение на фотографиях

Приложения:

NNNLLL54: 6cos^2x-2=2(3cos^2x-1) , а не 2(4cos^2x-1) .......
NNNLLL54: перед arctg(x+1/2) коэффициент должен быть (-1/2) ...
Вас заинтересует