Ответы
Ответ дал:
1
Ответ:
Ничего не понимаю на этом языке, но надеюсь что решила правильно.
Объяснение:
Приложения:

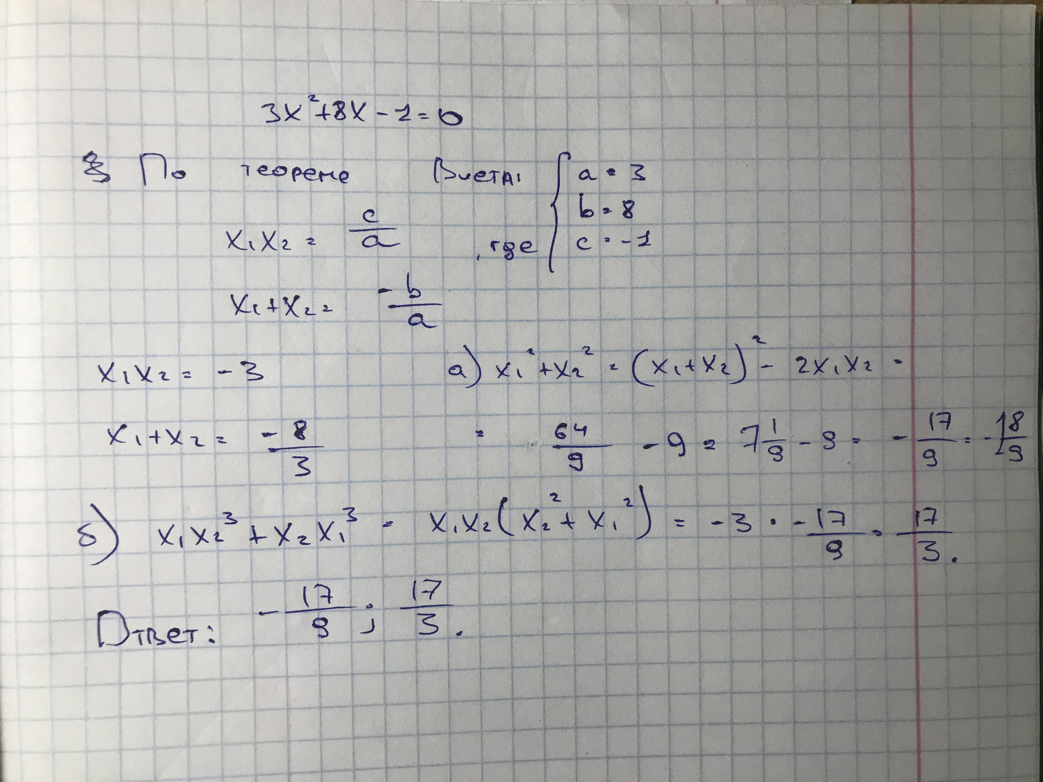
Ответ дал:
1
Решение представлено на фото.
Приложения:

Вас заинтересует
2 года назад
2 года назад
2 года назад
2 года назад
7 лет назад
7 лет назад
9 лет назад