195. Раствор, содержащий 1,22 г бензойной кислоты С6Н5СООН в 100 г сероуглерода, кипит при 46,529°С. Температура кипения сероуглерода 46,3°С. Вычислите эбуллиоскопическую константу сероуглерода
Ответы
Ответ дал:
1
Ответ: К = 2.29
Объяснение:
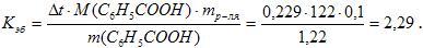
Повышение температуры кипения ∆t = 46,529 – 46,3 = 0,2290.
Молярная масса бензойной кислоты 122 г/моль. Из формулы (1) находим эбуллиоскопическую константу:
Приложения:

Вас заинтересует
2 года назад
2 года назад
2 года назад
7 лет назад
7 лет назад