• Предмет: Математика
  • Автор: Аноним
  • Вопрос задан 3 года назад

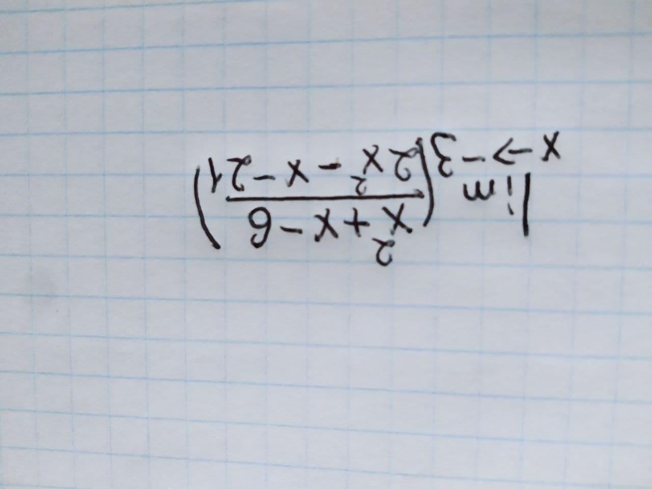
Вычислите предел функции

Приложения:

Ответы

Ответ дал: iosiffinikov
1

Ответ:

5/13

Пошаговое объяснение:

Числитель перепишем так:

(х+3)*(х-2)

Знаменатель (2х-7)*(х+3)

(заметив, что числитель и знаменатель обращаются в 0 при х=-3 подобрали второй множитель к (х+3)).

Отношение равно (х-2)/(2х-7) .

При х=-3 отношение равно: -5/(-13)=5/13

Это и есть искомый предел.

Вас заинтересует