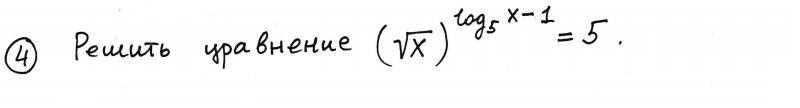
Решить логарифмическое уравнение (задание 4) с подсказкой: прологарифмировать обе части уравнения по основанию 5, далее использовать свойства логарифмов.
Приложения:

Ответы
Ответ дал:
1
Решение задания прилагаю
Приложения:

fomayermin:
СПАСИБО ОГРОМНОЕ!
Вас заинтересует
2 года назад
2 года назад
2 года назад
9 лет назад