Ответы
Ответ дал:
0
Ответ:
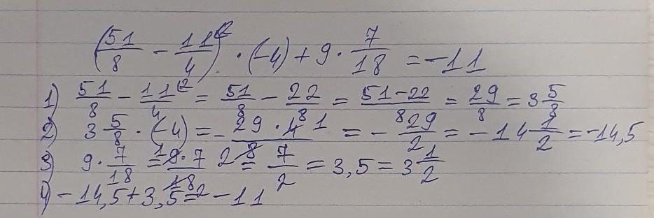
-11 (смотри пошаговое объяснение)
Пошаговое объяснение:
Прикрепил в фото
Приложения:

tyaniryadno:
правильно
Вас заинтересует
2 года назад
2 года назад
2 года назад
7 лет назад
7 лет назад
9 лет назад