• Предмет: Математика
  • Автор: dangerohamster
  • Вопрос задан 3 года назад

СРОЧНО!
Решите неравенство
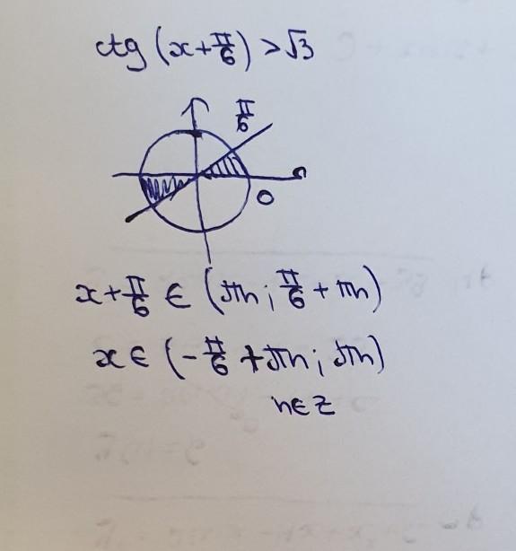
ctg(x+п/6)>√3

Ответы

Ответ дал: Miroslava227
0

Ответ:

решение на фотографии .

Приложения:
Вас заинтересует