• Предмет: Математика
  • Автор: alyaohckurova
  • Вопрос задан 3 года назад

Можно по быстрее пожалуйста

Приложения:

Ответы

Ответ дал: Аноним
2

Ответ:

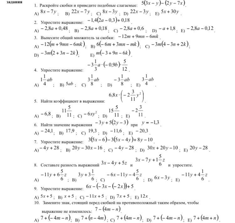
1. В

2. С

3. С

4.А.......


alyaohckurova: Спасибо)
Аноним: оцените...
Ответ дал: aaaaaa55558
1

Ответ:

b

c

c

a

......!.......!!!

Вас заинтересует