Умножение обыкновенных дробей и смешанных чисел.
2
3
1
3
—
- 3
+ 3
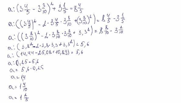
Реши уравнение: a:
10
Ответ: a =
Пров
-
Назад
Приложения:

Ответы
Ответ дал:
0
Ответ:
1 2/5
Пошаговое объяснение:
Приложения:

Вас заинтересует
2 года назад
2 года назад
2 года назад
7 лет назад
7 лет назад
9 лет назад