• Предмет: Химия
  • Автор: uch1hamadara
  • Вопрос задан 3 года назад

Мадара все еще ждет...
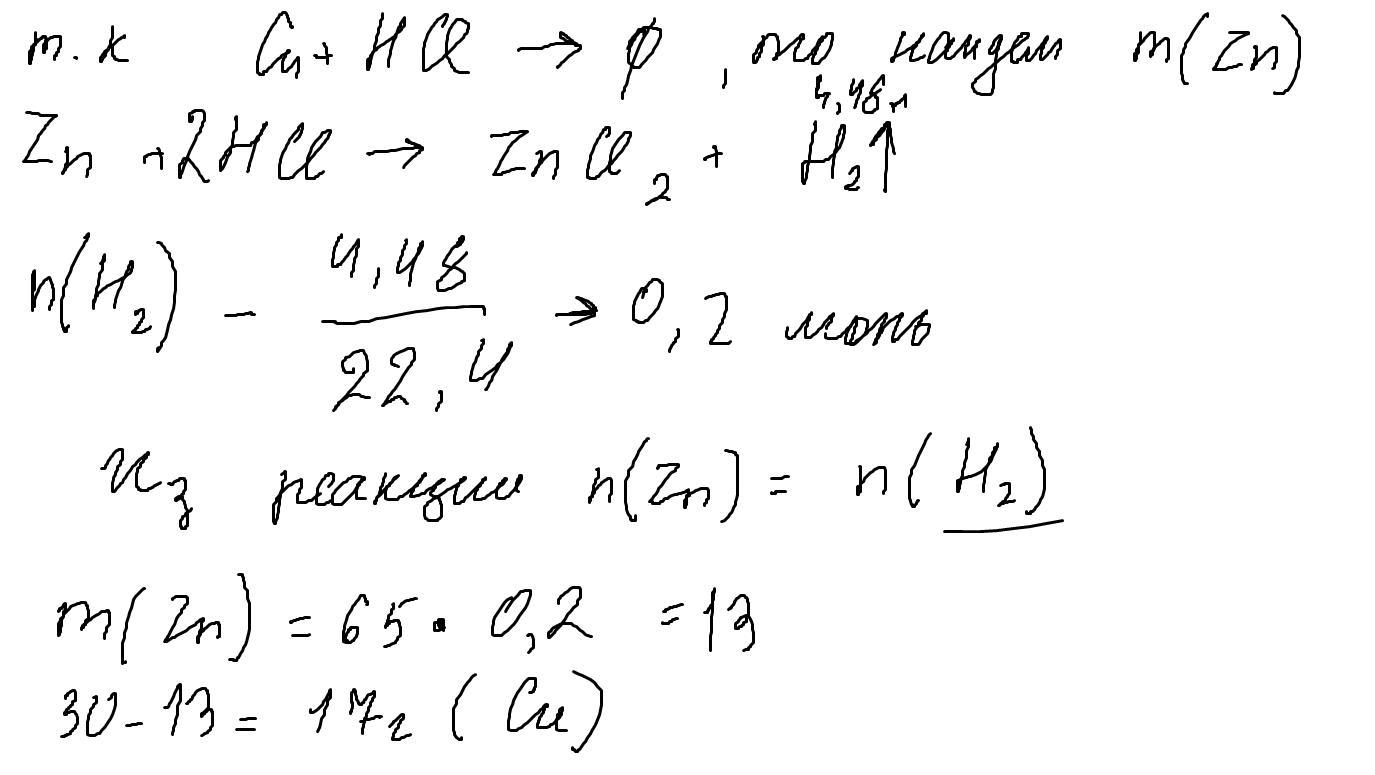
Найти массу и массовую долю металлов в слитке, если при обработке 30 г медно-цинкового слитка соляной кислотой выделяется 4,48 л (относительная влажность) водорода.​

Ответы

Ответ дал: garadzha17
4

Ответ:

......

Объяснение:

...............................

Приложения:

alypsatarovadilara: Саске вернись Коноху!
alypsatarovadilara: раньше: Наруто я стану Хокаге сейчас:задалбал работа
uch1hamadara: вы че творите
tvmaksi446: а ты че
uch1hamadara: прочитали 54 главу боруто?
tvmaksi446: нет
tvmaksi446: я наруто смотрю
uch1hamadara: кишимото аху евший, сливать каждого второго перса любит
tvmaksi446: 1 сезон
uch1hamadara: а ой
Вас заинтересует