• Предмет: Математика
  • Автор: glagolevasasha
  • Вопрос задан 10 лет назад

ОЧЕНЬ СРОЧНО!!! 
Вычислите значение sin2010º

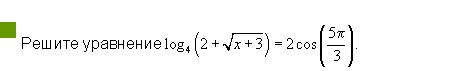
Приложения:

Ответы

Ответ дал: wba
0
отбрасываем целые обороты и получается 2010- 1800= 210
это равно - cos 60 = - 1/2

Вас заинтересует