• Предмет: Алгебра
  • Автор: asdddddddd26
  • Вопрос задан 3 года назад

help
35 ballov za otvet

Приложения:

Ответы

Ответ дал: katyavetka
1

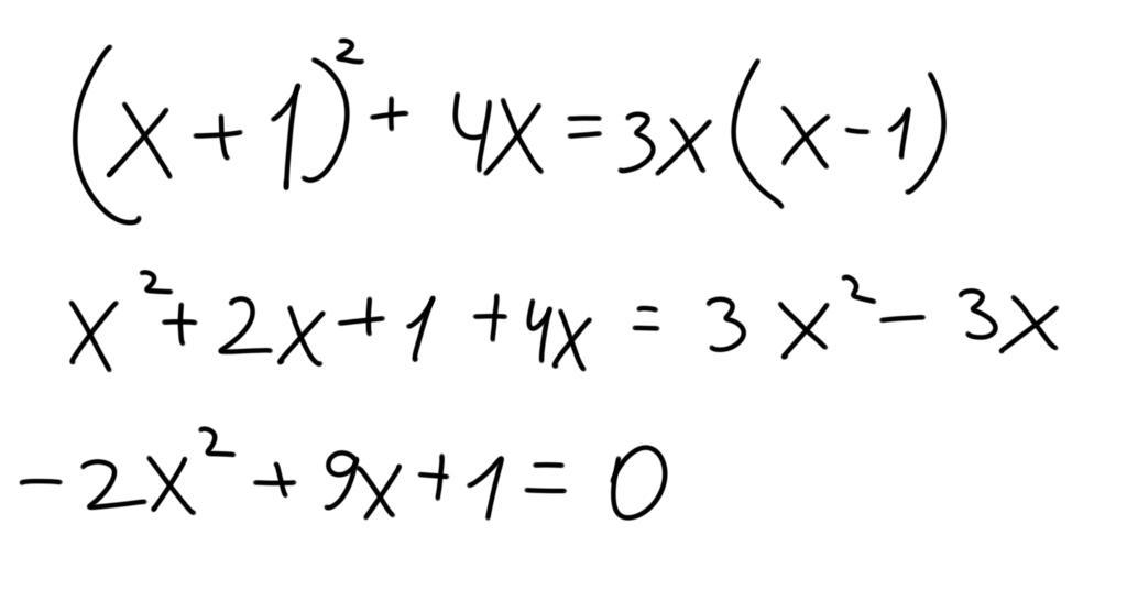
Ответ:

-2 --- старший коэффициент

9 --- второй коэффициент

1 --- свободный член

Объяснение:

Приложения:
Вас заинтересует