• Предмет: Математика
  • Автор: Аноним
  • Вопрос задан 3 года назад

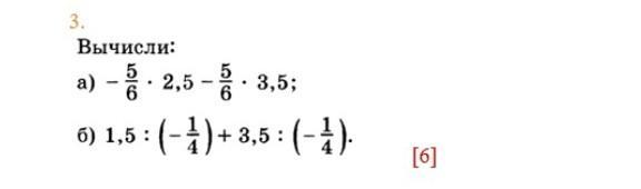
помогите пожалуйста ......​

Приложения:

Ответы

Ответ дал: Аноним
0

Ответ:

А 654......

Пошаговое объяснение:

Б 64........


Аноним: тут верно
Вас заинтересует